We can use our previous result of the electric field of a thin ring of charge to derive the E field of a disk.
We have an expression for the E field from a ring of charge at t a point P along the z-axis.
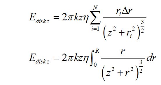
Summing over all of the rings in a disk will give us the total E field from the disk.
The rings have radii ri and radius Δr.
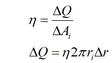
We define a surface charge density η as the total charge divided by the surface area of the disk.
Since we have constant surface charge density, it is the same for each incremental charge per area.
We use this expression for the charge density to rewrite our sum in terms of a geometric quantity.
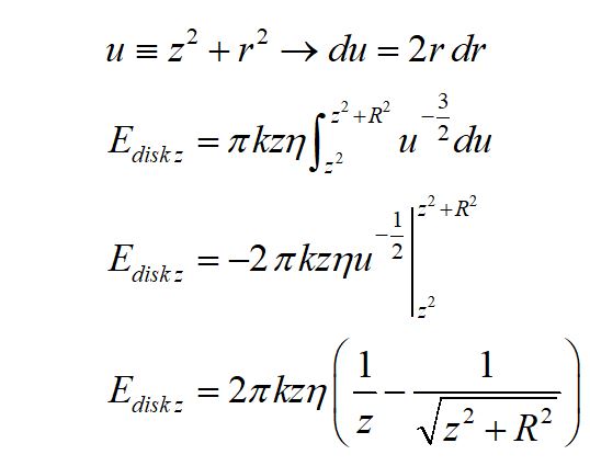
This allows us to write it in integral form and then integrate over the disk geometry.
We solve the integral using substitution, and evaluate it over the limits of the disk.
Factoring z out allows us to get an expression as R goes to infinity.
This is a very interesting case, and we will use it to define the electric field of an infinite plane of charge.
Notice this expression has no dependence on distance at all.
The electric field of an infinite sheet of charge does not diminish with distance.
We will use this result to model the electric field inside a capacitor.
A parallel plate capacitor consists of two plates with equal and opposite charge.
The fact that the size of area of the plates is much larger than their separation allows us to model
a parallel plate capacitor as two infinite planes of charge, with a constant electric field between them.
The field strength is the superposition of the two fields.
Motion of a charged particle in a constant E field
The constant electric field of an infinite plane of charge allows us to calculate the motion of a charged particle
in a manner analogous to the motion of a massive particle in a constant gravity field.
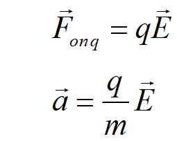
We use the fact that the net force equals the mass times acceleration of a particle to define acceleration
of a charged particle in a constant electric field.
Sample problems
1. Consider an infinite charged plate with a surface charge density of 2.0 x 10-6C/m2.
An electron is shot upward from the plane at 2.0 x 106 m/s. What is the maximum height above the plane
reached by the electron?
2. An electron is released from rest from the negative plate of a capacitor with charge density η and plate separation d.
How fast is it moving when it reaches the positive plate?
Motion of a dipole in an Electric field
A simple dipole configuration has polarized charge, with equal and opposite charges separated by a small distance.
A dipole in an ambient electric field feels equal and opposite forces on these charges, resulting in a net force of zero.
Even though the net force on a dipole in an E field is zero, there is a net torque. The torque on the dipole tends to
cause it to align with the direction of the electric field.