Electric field



lightning

When we answered the question of where the electric forces of two charged particles would be balanced, we introduced a tiny positive test charge to find the answer. After all, the electric force needs two charges by definition. Here, we will use that same concept to introduce a new quantity, the electric field.



electric force equation

We can define the electric force of charge q on charge q' and let q' be a positive tiny test charge. The direction of the force is away from the test charge.



electric field equation

If we divide through by the charge q' we can define a new quantity, the electric field. This force per charge can be defined anywhere whether there is actually a charged particle present or not. A field is constructed of a quantity that can be defined at any point. The electric field is a vector field. At every point in space, the magnitude and direction of the field can be determined.



electric field lines

The electric field of a positive point charge is shown here. We can measure the force per charge at each point in space that would exist if there was a tiny test charge there. We assume the test charge is tiny so it does not affect the field we are measuring. By convention, we use a positive test charge. The direction of the field is away from the positive test charge.

Sometimes we connect the force vector arrows to depict the field in another way, as electric field lines. The direction of the field lines has the same convention as the electric field vectors. The denser the field lines, the stronger the magnitude of the electric field.



net electric field equation

The electric field is the force per charge. For a group of point charges, the E field vectors add, just like the electric force vectors.



Sample question



1. What is the direction of the electric field at point P? Assume all charges are equal.



two charges

   A. up

   B. down

   C. left

   D. right

   E. it is zero








Example problem



Find the E field of 3 equal point charges separated by a distance yi on the y-axis, at a point P, a distance r away on the x-axis



three charges



First, draw the E field vectors at the point P.

three charges

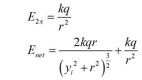
Now take advantage of the symmetry. Notice that the y components of the E field vectors from the upper and lower charges cancel. The net E field is just the contribution from E2 and twice the x-component of E1.



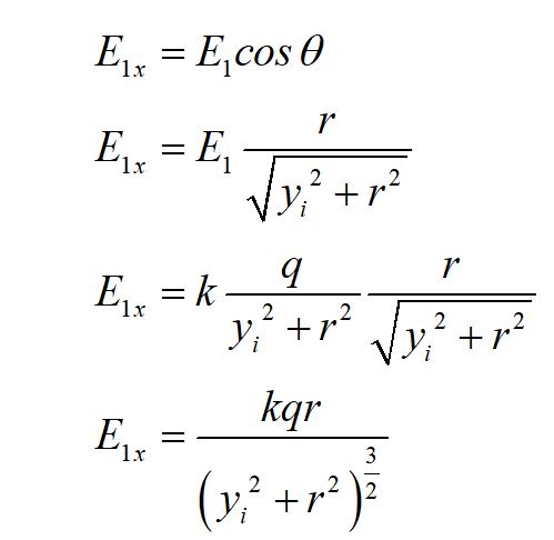
Ex equation



Define the x-component of E1 in terms of given variables.

Ex equation



The contribution form E2 is just the Electric field of a point charge. Now just add the three contributions to find the net E field at P.




Limiting cases



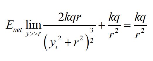
Let's check our result by looking at limiting cases. What happens when we move very close to the charges along the x-axis?

Ex limit equation



The r in the numerator of the first term drives it to zero. Our result is the electric field of a single point charge, as we would expect.



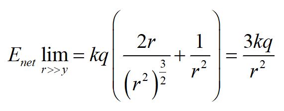
What happens if we move our point P very far away?



Ex limit equation



This equation is the electric field of a point charge with a charge 3q. As we get far away, the three charges appear as one, as we might expect.




car headlights at a distance



We see a similar effect when we view car headlights. If the oncoming car is far enough away, the two headlights seem to merge into one point of light.