Electric field of a continuous linear charge



dipole field

A line of many equally spaced charges produces an electric field that can be approximated as a continuous linear charge distribution.



Calculate the E field of a continuous linear charge



linear Charge

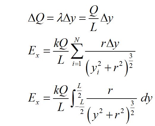
We can define a linear charge density as the total charge per length.



linear Charge

We can define a coordinate system and calculate the electric field at a point P a distance d away along the x-axis. yi is the position of an incremental point along the y-axis.



linear Charge

First, consider how the symmetry of our system can simplify the calculation. Since the y-components of the E field cancel at point P, we expect our total electric field to have only an x-component. This would not be true in general, but works here since the x-axis bisects the line of charge. Since the linear charge is positive, the E field will point to the right.



linear Charge

We define useful quantities and substitute into the general equation for the E field. Notice that this is completely analagous to what we did when we found the electric field of three discrete point charges.



superposition

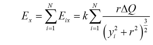
Now use the principle of superposition. The net electric field is the vector sum of the electric fields of all of the charges.



integral

We use the definition of the charge density to rewrite the equation in geometric terms, and let the increment go to zero to form an integral.



integral

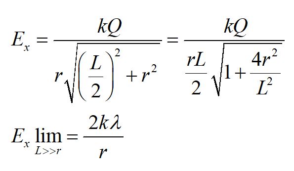
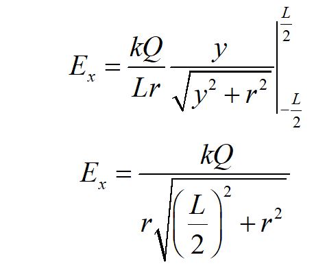
Calculate and evaluate the integral. Does the answer make sense? Let's think about the limiting cases.

The E field gets larger as Q increases. That makes sense. More charge makes a stronger field.

If r >> L, the field goes to that of a point charge. That makes sense. From a distance, our discrete line of charge would shrink to a point charge.

What if L >> r?



infinite line charge

Factoring L out of the denominator allows us to rewrite the E field equation in terms of linear charge density. This field just points away from the line of charge, the strength only depends on the distance from the line.



E field from a ring of charge

ring of charge

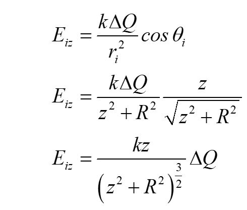
Consider the electric field fom a thin ring of charge with constant linear density, lying in the x-y plane. Calculate the field at a point P along the z-axis. First, consider the symmetry. Which direction do you expect the total E field vector to point?



charged ring

We can define some useful quantities. Since the ring is thin, we just have a linear charge density that is the total charge divided by the circumference of the ring.



E field equaiton

The general equation for the E field should look familiar to you. We can make it specific to our system by substituting in the quantites we have defined. This expression gives the form for the incremental E field from an incremental charge Qi.



total E field equation

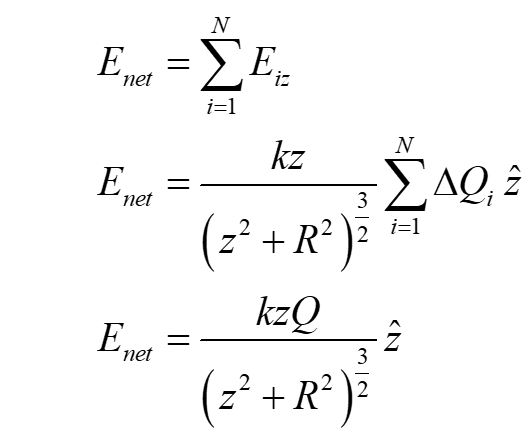
Now we use the principle of superposition. The sum of all of the contributions gives the total electric field at point P. This time we did not even need to integrate. This is because all of the incremental charges lie equidistant from P.



total E field plot

This plot shows the behavior of the E field function. The electric field goes to zero at the center of the ring. This makes sense, since the field vectors all cancel at the center. Qualitatively, why do you think the field reaches a maximum along the z-axis, and then decreases? How would you find the position of the maximum field?



Sample problem



A total charge Q is evenly distributed along a thin, flexible rod of length L bent into a semicircle. Find the electric field at the center of the semicircle.