Position graphs

A position graph can be used to represent motion of a particle.

For example, this position graph could represent the motion of a person walking. Let's define the positive direction as walking to the right.

 

Here, the person started at the origin and walked 2 meters to the right in 3 seconds, then stood still for two seconds. Then the person walked 4 meters left in two seconds and stood still for 3 seconds before returning to the origin in two seconds.

 

Notice that when the person was walking to the right, the x-value increased. When the person walked left, the x-value decreased. The person was actually walking through the origin at t = 6 seconds.

 

How far did the person walk? The total distance walked was 8 meters. The distance includes all of the motion of the person. The displacement was actually zero meters, since the person ended up at the origin. Remember, the displacement is the difference between the initial and final position vectors.

 

We can also get information regarding the velocity at various time intervals. Between 1 s and 3 s, the person walked 2 m, so they were going 1 m/s. The velocity is defined as positive, since we defined the positive direction to the right. Similarly, the velocity for the time interval between 5 s and 7 s was negative 2 m/s.

Position, velocity and acceleration signs

By convention, we define the positive direction of the x-axis to be to the right and the positive direction of the y-axis to be upward. Sometimes we will find it convenient to change our definition. For 1-D motion we will keep the standard convention.

We define velocity to be positive in the direction of positive x. In our convention, if an object is moving to the right, it has positive velocity.

There are four cases for acceleration in 1-D motion. If an object is moving to the right and speeding up, or moving to the left and slowing down, the acceleration is positive.

 

If an object is moving right and slowing down or moving left and speeding up, the acceleration is negative.

If the signs of velocity and acceleration are the same, the object is speeding up. If the signs of velocity and acceleration are opposite, the object is slowing down.

 

In general, for 2 and 3 dimensional motion, we will not use positive and negative signs for position, velocity and acceleration. We treat these quantities as vectors, so we need to define direction as well as magnitude.

We can use strobe diagrams to depict velocity and acceleration of a particle in motion. Again, the length of the vector depicts magnitude. This example illustrates a particle starting from rest, speeding up and then slowing down and stopping. Note that the velocity arrows all point to the right, indicating that the particle is moving in the same direction from start to stop. The acceleration arrows point to the right while the particle is speeding up and to the left while the particle is slowing down.

Unit conversions

We will encounter very many units in physics, and sometimes need to convert between units.

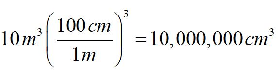
The most common cause for error in converting units is when powers are involved. Always make sure to raise the conversion factor to the same power of the units when making conversions.

Course web page for PH 211 Ecampus

Oregon State University

© 2022 - khadley.com

website developer Kathryn Hadley

web master: jay(at-sign)jirvinh.com